surat akuan pembida

0 0 1 amalia laksmita dewi perjanjian kerj. Surat akuan ini hendaklah dikemukakan bersama Surat Perwakilan Kuasa.


3 3 Surat Akuan Pembida Berjaya Pdf

SURAT AKUAN PEMBIDA BERJAYA Author.

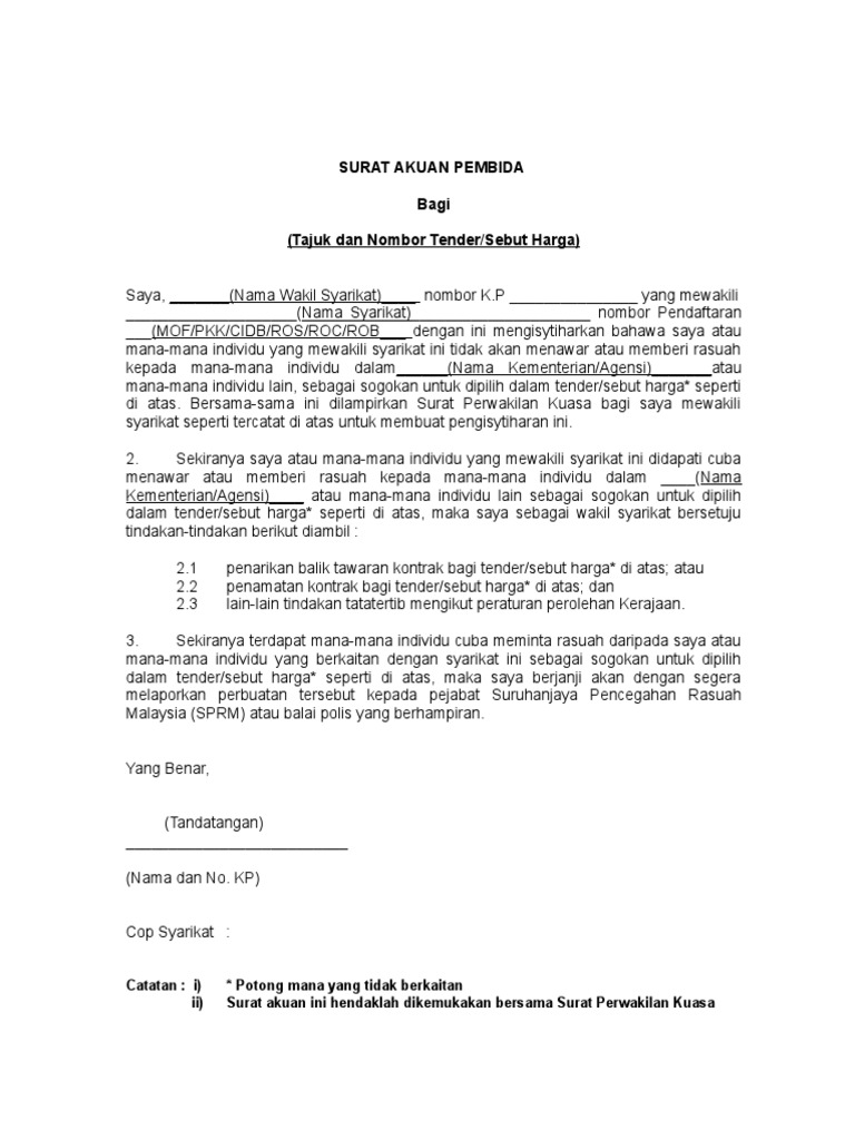
. V penjualan dokumen sebut harga agensi tidak digalakkan menjual dokumen sebut harga. View 02_Sampel_Surat_Akuan_Pembidapdf from INFORMATIO IT101 at Don Mariano Marcos. Bersama-sama ini dilampirkan Surat Perwakilan Kuasa bagi saya mewakili syarikat seperti tercatat di atas untuk membuat pengisytiharan ini.

Conditions of Contract. ZARINNA BINTI ZAWAWI Created Date. SURAT AKUAN PEMBIDA BERJAYA.

Human translations with examples. Surat akuan pembida berjaya 18 lampiran 1i. 11 - dokumen 5 surat akuan pembida sl1m 3 16 1 11 -pengesahan pembida.

Nor Kamariah Bte Basherudin Last modified by. Surat Akuan Pembida Berjaya. 0 0 16 lampiran standard operasional prosedur s.

Hewlett-Packard Company Other titles. 4 6 3 E bjbj 8 4 5 5 5 5 5 I I I 8 I u. Surat Setujuterima Tender JKR 203D Pind.

12302010 34900 AM Other titles. 0 0 1 amalia laksmita dewi perjanjian kerj. View Surat Akuan Pembidadoc from KEJUTERAAN 101238 at Politeknik Sultan Salahuddin Abdul Aziz Shah.

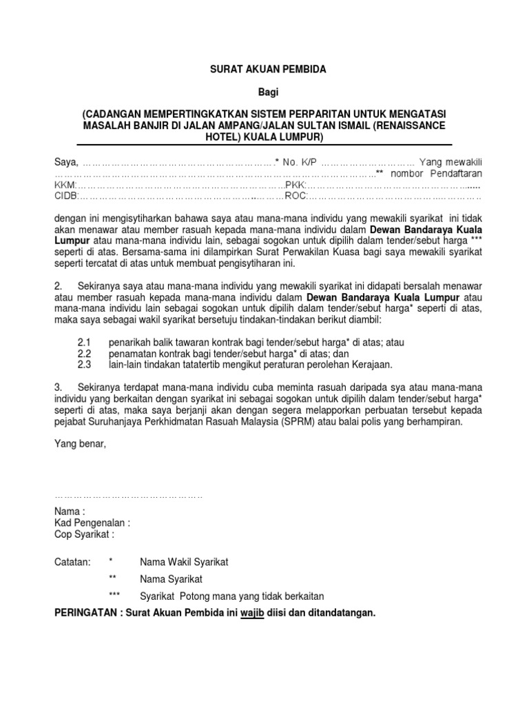
Surat Akuan Pembida Berjaya adalah surat pengisytiharan kontraktor untuk tidak menawar atau memberi rasuah kepada mana-mana pihak yang terlibat dalam perlaksanaan kontrak. Sekiranya saya atau mana-mana individu yang mewakili syarikat ini didapati cuba menawar atau memberi rasuah kepada mana-mana individu dalam Universiti. Sep 13 2021 nanti pada hari penyerahan dokumen pegawai ptptn akan cop palang dengan tarikh kita hantar dokumen ni untuk.

Nor Kamariah Bte Basherudin Last modified by. Surat akuan pembida 17 lampiran 1h. Surat Akuan Pembida 20 G Surat Akuan Pembida Berjaya 21 H Klausa Pencegahan Rasuah Dalam Dokumen Perolehan Kerajaan 22 I Surat Akuan Kepentingan Perunding 25 J Surat Akuan Perunding Yang Dilantik 26.

Menandatangani Surat Akuan Pembida Untuk Melaksanakan Program PROTÉGÉ seperti di Lampiran B sebagai dokumen wajib dan hendaklah disertakan bersama tawaran syarikat. Dilampirkan Surat Perwakilan Kuasa bagi saya mewakili syarikat seperti tercatat di atas untuk membuat pengisytiharan ini. 8242015 41901 PM.

SURAT AKUAN PEMBIDA Bagi Tajuk dan Nombor TenderSebut Harga Saya _Nama Wakil Syarikat_. 0 0 4. Sekiranya Penyebut Harga gagal mengemukakan Surat Akuan Pembida tersebut Penyebut Harga akan dinilai gagal dalam Penilaian Sebutharga.

Surat ini juga mengisytiharkan bahawa kontraktor bersetuju tindakan akan dikenakan kepadanya sekiranya ia didapati bersalah dalam menawar atau memberi rasuah kepada mana. 0 0 4. Agensi juga hendaklah memastikan Arahan Kepada Penyebut Harga Petender seperti di Lampiran C dalam semua dokumen pelawaan.

Surat Akuan Pembida Iklan Tawaran - Thumbnails Ebook Kontrak Perjanjian PDFTXT Department of Museums Malaysia Our Museum Our Story Contoh Laporan Video - Nusagates 3 Contoh Surat Minat Beli Tanah yang Baik dan Benar PDF Iu0027m not the author just sharing BUKU PANDUAN PENTADBIRAN. Regard affidavit single letter am80 declaration letter employers. 0 0 3 surat akuan pematuhan dasar kesetan ict kkm.

SURAT AKUAN PEMBIDA BAGI SEBUTHARGA MEMBEKAL DAN MENGHANTAR COMPLETE VACUUM. Contextual translation of surat akuan pembida ditandatangani into English. View 02_Sampel_Surat_Akuan_Pembidapdf from INFORMATIO IT101 at Don Mariano Marcos Memorial State University.

SURAT AKUAN PEMBIDA BERJAYA Author. 9252020 21700 AM Company. 0 0 16 lampiran standard operasional prosedur s.

Sekiranya saya atau mana-mana individu yang mewakili syarikat ini didapati. SURAT AKUAN PEMBIDApdf - Google Drive. Juga melampirkan Surat Perwakilan Kuasa menandatangani bagi pihak Syarikat.

Standard Form of Contract PWD 203A Rev12010 Page 1 - 3 PWD 203A Appendix To The Conditions Of Contract. 11 - dokumen 5 surat akuan pembida sl1m 3 16 1 11 -pengesahan pembida. Contextual translation of surat akuan pembida into English.

SURAT AKUAN OLEH PENJAWAT AWAM YANG TERLIBAT DALAM PEROLEHAN Author. BORANG SEBUTHARGA - SURAT AKUAN PEMBIDA. 0 0 3 surat akuan pematuhan dasar kesetan ict kkm.

222 Surat Akuan Pembida tersebut adalah menjadi salah satu dokumen wajib dalam penilaian Sebut Harga. Surat Akuan Pembida. School of Physics Official Website.

7 Surat Akuan Pembida BerjayaSyarikat 19 8 Klausa Pencegahan Rasuah Dalam Dokumen Perolehan Kerajaan 21 9 Surat Akuan Kepentingan Perunding 22 10 Surat Akuan Perunding Yang Dilantik 24 11 Surat Akuan Oleh Syarikat Yang Mendaftar dengan Kementerian KewanganLembaga Pembangunan Industri Pembinaan Malaysia CIDB. Human translations with examples. SURAT AKUAN PEMBIDA BERJAYA.

SURAT AKUAN PEMBIDA Bagi SEBUT HARGA BAGI PERKHIDMATAN SISTEM PENGURUSAN KUALITI DI JABATAN KEBAJIKAN MASYARAKAT. Surat akuan perunding yang dilantik 20 lampiran 1k. Regard affidavit single letter am80 declaration.


2


Surat Akuan Pembida Berjaya Pdf


2


Surat Akuan Pembida Pdf


02 Sampel Surat Akuan Pembida Pdf


2


Surat Akuan Pembida Pdf


Surat Akuan Pmbida Berjaya Pdf


11 Dokumen 5 Surat Akuan Pembida Sl1m


Surat Akuan Pembida Pdf


Surat Akuan Pembida Pdf


11 Pengesahan Pembida


Surat Akuan Pembida Pdf


Surat Akuan Pembida Pdf Google Drive


Lampiran F Pdf


Surat Akuan Pembida Pdf


Facebook


2


Surat Akuan Pembida

Iklan Atas Artikel

Iklan Tengah Artikel 1

Iklan Tengah Artikel 2

Iklan Bawah Artikel